Berikut ini adalah pembahasan tentang pesawat sederhana yang meliputi pengertian pesawat sederhana, macam macam pesawat sederhana, jenis jenis pesawat sederhana, penerapan pesawat sederhana, contoh pesawat sederhana, aplikasi pesawat sederhana, gambar pesawat sederhana, pesawat sederhana tuas, pesawat sederhana katrol, pesawat sederhana bidang miring, pesawat sederhana roda.
Setiap alat yang digunakan untuk mempermudah melakukan usaha disebut pesawat. Ada pesawat yang rumit dan ada pesawat yang sederhana. Pesawat yang rumit terdiri dari beberapa pesawat sederhana.
Sebuah pesawat sederhana menggunakan satu gaya kerja untuk bekerja melawan satu gaya beban. Dengan mengabaikan gaya gesek yang timbul, maka kerja yang dilakukan oleh beban besarnya akan sama dengan kerja yang dilakukan pada beban.
Akan tetapi dengan mengungkit tidaklah demikian halnya. Dengan pengungkit untuk mengangkat benda seberat w dibutuhkan gaya yang lebih kecil dari w.
Penggunaan tuas dengan jalan menyusupkan salah satu ujung batang di bawah benda yang akan diangkat. Di bawah batang dekat benda yang akan diangkat diletakkan pengganjal (sebagai pusat rotasi). Ujung lain dari pengungkit itu ditekan ke bawah dengan gaya F. Terangkatlah benda itu sedikit.
Pada pengungkit beban yang akan diungkit beratnya dinyatakan dengan w. Titik T, tempat tumpuan tuas, gaya yang kita kerjakan pada ujung lain merupakan kuasa disebut F.
l2 = lB = lengan beban
l1 = lk = lengan kuasa
Contoh Soal Pesawat Sederhana Tuas
Alat-alat yang menggunakan asas tuas yaitu: pinset, gunting, tang, roda dorong dan lain-lain. Apabila gaya F mengakibatkan ujung B bergerak ke bawah sebesar S1 dan ujung A bergerak ke atas sejauh S2 maka
Pesawat memudahkan usaha, tetapi tidak mengurangi usaha yang harus dilakukan. Perbandingan antara beban w dengan kuasa F, disebut keuntungan mekanik (km).
a. Katrol tetap
Perhatikan gambar di samping. Untuk katrol tetap.
A = titik kuasa
B = titik tumpu
C = titik beban
Karena itu keuntungan mekanis katrol tersebut = mg/F = 1 (OA = OB);
AC = lengan kuasa
AB = lengan beban
Keuntungan lain dari katrol tetap adalah keuntungan arah, karena dengan gaya ke bawah kita dapat menaikkan beban.
b. Katrol bergerak
Pada katrol tunggal yang bergerak, benda yang diangkat digantungkan pada poros katrol O, B sebagai titik tumpu, O merupakan titik beban, A sebagai titik kuasa.
Keuntungan mekanik katrol tunggal yang bergerak:
c. Sistem katrol
Agar kuasa yang kecil mampu mengangkat beban yang jauh lebih besar maka digunakan sistem katrol. Sistem katrol merupakan gabungan dua blok katrol, di mana tiap blok katrol dapat terdiri dari 2 katrol atau lebih.
Dari percobaan yang teliti ternyata untuk beban yang beratnya jauh lebih besar dari berat tali dan katrolkatrolnya berlaku rumus:
n = jumlah katrol tiap blok
F = kuasa (gaya penariknya)
W = beban yang diangkat
w/F = disebut keuntungan mekanis
Katrol tunggal yang bergerak tidak mempunyai keuntungan arah apabila digunakan untuk mengangkat beban. Dalam praktik berat tali dan katrol tidak dapat diabaikan oleh sebab itu kuasa harus dinaikkan dari hasil perhitungan agar beban terangkat.
Kemudian didorong peti itu melewati titian. Berapa besarnya gaya dorong yang dibutuhkan dan berapakah usaha yang dilakukan?
Untuk menaikkan peti ke dalam truk dibutuhkan gaya dorong minimal F1 berlawanan arah dengan F. Dari gambar di atas maka diperoleh perbandingan sebagai berikut.
Apabila h/s = 1/5, maka gaya 1/5 mg atau seperlima gaya berat peti yang dinaikkan ke dalam truk, maka peti seberat 1000 newton, dapat didorong ke dalam truk dengan gaya 200 newton. Besarnya usaha yang dilakukan
Usaha ini sama dengan usaha untuk menaikkan peti tersebut setinggi h secara langsung (naik vertikal) tanpa melalui bidang miring. Jadi jelas bidang miring digunakan untuk mempermudah usaha, bukan mengurangi besarnya usaha yang harus kita lakukan.
Keuntungan mekanis bidang miring adalah sebesar s/h jika s/h = 5, maka keuntungan mekanisnya 5.
Dalam praktik tidak ada bidang miring yang licin, tetapi gaya gesekan pasti ada sebab itu F1 harus lebih besar dari mgh/s. Sebagian usaha berubah menjadi kalor karena adanya gesekan.
Contoh soal Pesawat Sederhana Bidang Miring
1. Seekor kuda menarik kereta. Jika kereta berpindah 20 meter, sedangkan gaya kuda itu 300 newton, searah perpindahan kereta. Berapakah usaha yang dilakukan kuda itu pada kereta?
Diketahui :
F = 300 N
s = 20 m
Ditanya : W = ?
Jawab :
Jadi W = F.S
= 300.20
= 6.000 joule
2. Sebuah benda dilemparkan dengan gaya 100 newton. Selama 0,5 detik, benda itu menempel di tangan pelempar dan berpindah sejauh 1,5 meter. Setelah itu benda itu lepas dari tangan pelempar dan meluncur sejauh 20 meter, lalu berhenti. Berapakah usaha yang dilakukan oleh pelempar pada benda itu?
Diketahui :
F = 50 N
s = 1,5 m dan s′ = 200 m
Ditanya : Woleh pelempar?
Jawab : Gaya yang bekerja pada benda dari pelempar hanya bekerja sejauh 1,5 m.
Jadi W = F.s
= 50.1,5
= 75 joule
3. Seseorang yang diberi tugas menaikkan benda yang bermassa 80 kg ke loteng yang tingginya 3 meter. Akan tetapi gaya terbesar yang dipunyai orang ini hanya 400 newton. Tugas ini harus dikerjakan seorang diri. Untuk orang itu tersedia katrol, tali (kira-kira 6 meter panjangnya dan balok-balok). Apakah yang harus dilakukannya? Diketahui percepatan gravitasi bumi 10 m s-2.
Diketahui :
W = m.g
= 80 . 10
= 800 N
h = 3 meter
l = 6 meter
Ditanya : Jika tersedia sebuah katrol dan balok-balok bagaimana caranya orang tersebut menaikkan beban tersebut sendirian?
Jawab : Dengan mengabaikan berat katrol dan tali maka ia dapat menggunakan katrol bergerak, dengan satu ujung tali ditambatkan di loteng, satu ditarik dari loteng melalui katrol.
2T = m.g
= 80 . 10
T = 400 N
Gaya ini sama dengan kekuatan orang F = 400 N
Baca juga: Rumus dan Contoh Soal Usaha
Pengertian Pesawat Sederhana
Banyak peralatan yang kita dapatkan di rumah atau di sekolah yang berfungsi mempermudah kerja manusia.Setiap alat yang digunakan untuk mempermudah melakukan usaha disebut pesawat. Ada pesawat yang rumit dan ada pesawat yang sederhana. Pesawat yang rumit terdiri dari beberapa pesawat sederhana.
Pesawat sederhana adalah alat sederhana yang dipergunakan untuk mempermudah manusia melakukan usaha.Pesawat sederhana adalah alat mekanik yang dapat mengubah arah atau besaran dari suatu gaya. Secara umum, alat-alat ini bisa disebut sebagai mekanisme paling sederhana yang memanfaatkan keuntungan mekanik untuk menggandakan gaya.
Sebuah pesawat sederhana menggunakan satu gaya kerja untuk bekerja melawan satu gaya beban. Dengan mengabaikan gaya gesek yang timbul, maka kerja yang dilakukan oleh beban besarnya akan sama dengan kerja yang dilakukan pada beban.
Macam-macam Jenis Pesawat Sederhana
Dalam pembahasan ini akan diuraikan 3 jenis pesawat sederhana, yaitu tuas, katrol tetap dan bergerak dan bidang miring.1. Pesawata Sederhana Tuas (Pengungkit)
Sebatang besi atau benda lain, yang digunakan untuk mengungkit, merupakan tuas yang paling sederhana. Untuk mengangkat langsung benda yang beratnya w dibutuhkan gaya minimal = w.Akan tetapi dengan mengungkit tidaklah demikian halnya. Dengan pengungkit untuk mengangkat benda seberat w dibutuhkan gaya yang lebih kecil dari w.
| Gambar: Contoh Pesawat Sederhana Jenis Tuas |
Penggunaan tuas dengan jalan menyusupkan salah satu ujung batang di bawah benda yang akan diangkat. Di bawah batang dekat benda yang akan diangkat diletakkan pengganjal (sebagai pusat rotasi). Ujung lain dari pengungkit itu ditekan ke bawah dengan gaya F. Terangkatlah benda itu sedikit.
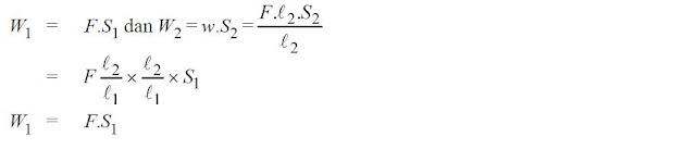
Pada pengungkit beban yang akan diungkit beratnya dinyatakan dengan w. Titik T, tempat tumpuan tuas, gaya yang kita kerjakan pada ujung lain merupakan kuasa disebut F.
l2 = lB = lengan beban
l1 = lk = lengan kuasa
| Gambar: Asas Pesawat Sederhana Tuas |
Contoh Soal Pesawat Sederhana Tuas
Alat-alat yang menggunakan asas tuas yaitu: pinset, gunting, tang, roda dorong dan lain-lain. Apabila gaya F mengakibatkan ujung B bergerak ke bawah sebesar S1 dan ujung A bergerak ke atas sejauh S2 maka
Pesawat memudahkan usaha, tetapi tidak mengurangi usaha yang harus dilakukan. Perbandingan antara beban w dengan kuasa F, disebut keuntungan mekanik (km).
2. Pesawat Sederhana Katrol
Katol merupakan pesawat sederhana yang banyak kita jumpai di sekitar, misalnya digunakan untuk katrol timba. Ada dua jenis katrol yaitu:a. Katrol tetap
Perhatikan gambar di samping. Untuk katrol tetap.
A = titik kuasa
B = titik tumpu
C = titik beban
| Gambar: Katrol Tetap |
Karena itu keuntungan mekanis katrol tersebut = mg/F = 1 (OA = OB);
AC = lengan kuasa
AB = lengan beban
Keuntungan lain dari katrol tetap adalah keuntungan arah, karena dengan gaya ke bawah kita dapat menaikkan beban.
b. Katrol bergerak
Pada katrol tunggal yang bergerak, benda yang diangkat digantungkan pada poros katrol O, B sebagai titik tumpu, O merupakan titik beban, A sebagai titik kuasa.
| Gambar: Katrol Bergerak |
Keuntungan mekanik katrol tunggal yang bergerak:
c. Sistem katrol
Agar kuasa yang kecil mampu mengangkat beban yang jauh lebih besar maka digunakan sistem katrol. Sistem katrol merupakan gabungan dua blok katrol, di mana tiap blok katrol dapat terdiri dari 2 katrol atau lebih.
| Gambar: Sistem Katrol |
Dari percobaan yang teliti ternyata untuk beban yang beratnya jauh lebih besar dari berat tali dan katrolkatrolnya berlaku rumus:
W = 2n.FKeterangan:
n = jumlah katrol tiap blok
F = kuasa (gaya penariknya)
W = beban yang diangkat
w/F = disebut keuntungan mekanis
Katrol tunggal yang bergerak tidak mempunyai keuntungan arah apabila digunakan untuk mengangkat beban. Dalam praktik berat tali dan katrol tidak dapat diabaikan oleh sebab itu kuasa harus dinaikkan dari hasil perhitungan agar beban terangkat.
3. Pesawt Sederhana Bidang miring
Perhatikan gambar di bawah ini! dua orang menaikkan peti yang berat sekali ke dalam truk, digunakan bidang miring yang merupakan titian dari lantai ke atas truk.Kemudian didorong peti itu melewati titian. Berapa besarnya gaya dorong yang dibutuhkan dan berapakah usaha yang dilakukan?
| Gambar: Contoh Pesawat Sederhana Bidang Miring |
Untuk menaikkan peti ke dalam truk dibutuhkan gaya dorong minimal F1 berlawanan arah dengan F. Dari gambar di atas maka diperoleh perbandingan sebagai berikut.
Apabila h/s = 1/5, maka gaya 1/5 mg atau seperlima gaya berat peti yang dinaikkan ke dalam truk, maka peti seberat 1000 newton, dapat didorong ke dalam truk dengan gaya 200 newton. Besarnya usaha yang dilakukan
Usaha ini sama dengan usaha untuk menaikkan peti tersebut setinggi h secara langsung (naik vertikal) tanpa melalui bidang miring. Jadi jelas bidang miring digunakan untuk mempermudah usaha, bukan mengurangi besarnya usaha yang harus kita lakukan.
Keuntungan mekanis bidang miring adalah sebesar s/h jika s/h = 5, maka keuntungan mekanisnya 5.
Dalam praktik tidak ada bidang miring yang licin, tetapi gaya gesekan pasti ada sebab itu F1 harus lebih besar dari mgh/s. Sebagian usaha berubah menjadi kalor karena adanya gesekan.
Contoh soal Pesawat Sederhana Bidang Miring
1. Seekor kuda menarik kereta. Jika kereta berpindah 20 meter, sedangkan gaya kuda itu 300 newton, searah perpindahan kereta. Berapakah usaha yang dilakukan kuda itu pada kereta?
Diketahui :
F = 300 N
s = 20 m
Ditanya : W = ?
Jawab :
Jadi W = F.S
= 300.20
= 6.000 joule
2. Sebuah benda dilemparkan dengan gaya 100 newton. Selama 0,5 detik, benda itu menempel di tangan pelempar dan berpindah sejauh 1,5 meter. Setelah itu benda itu lepas dari tangan pelempar dan meluncur sejauh 20 meter, lalu berhenti. Berapakah usaha yang dilakukan oleh pelempar pada benda itu?
Diketahui :
F = 50 N
s = 1,5 m dan s′ = 200 m
Ditanya : Woleh pelempar?
Jawab : Gaya yang bekerja pada benda dari pelempar hanya bekerja sejauh 1,5 m.
Jadi W = F.s
= 50.1,5
= 75 joule
3. Seseorang yang diberi tugas menaikkan benda yang bermassa 80 kg ke loteng yang tingginya 3 meter. Akan tetapi gaya terbesar yang dipunyai orang ini hanya 400 newton. Tugas ini harus dikerjakan seorang diri. Untuk orang itu tersedia katrol, tali (kira-kira 6 meter panjangnya dan balok-balok). Apakah yang harus dilakukannya? Diketahui percepatan gravitasi bumi 10 m s-2.
Diketahui :
W = m.g
= 80 . 10
= 800 N
h = 3 meter
l = 6 meter
Ditanya : Jika tersedia sebuah katrol dan balok-balok bagaimana caranya orang tersebut menaikkan beban tersebut sendirian?
Jawab : Dengan mengabaikan berat katrol dan tali maka ia dapat menggunakan katrol bergerak, dengan satu ujung tali ditambatkan di loteng, satu ditarik dari loteng melalui katrol.
2T = m.g
= 80 . 10
T = 400 N
Gaya ini sama dengan kekuatan orang F = 400 N
Baca juga: Rumus dan Contoh Soal Usaha